Lista băncilor care NU AU PLĂTIT IMPOZIT PE PROFIT în România, în perioada 2011-2016 (FOTO)
Au fost dezvăluite numele băncilor care nu au mai plătit impozit pe profit României de 5 ani, subiect despre care ministrul Finanțelor, Ionuț Mișa, a vorbit săptămâna trecută, fără a menționa vreo instituție bancară.
“Am îndrăznit să atacăm şi să efectuăm controale la bănci. (…) Avem 70% dintre băncile din România care în ultimii cinci ani nu au plătit impozit pe profit", a spus ministrul Mișa. (Detalii AICI)
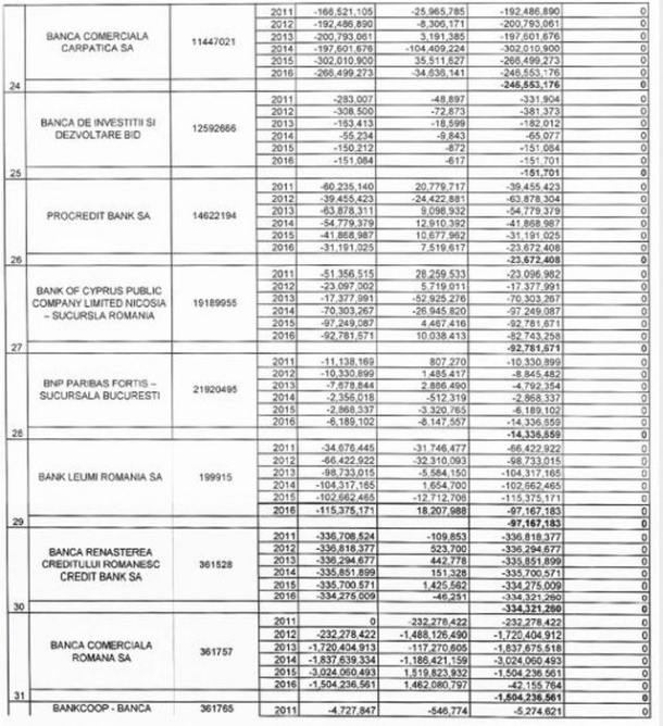
Ziarul BURSA a intrat în posesia unui document care ilustrează situaţia fiscală a unui număr de 46 de bănci. 27 dintre acestea nu au raportat niciun profit în perioada 2011-2016.
“Întrucât tabelul (de aproape cinci pagini, dintre care trei sunt ocupate cu cifra zero la coloana ce reflectă impozitul anual pe profit), conţine o serie de date care ne-au contrariat, arătând pierderi la anumite bănci în anii în care acestea au raportat profit, am încercat să comparăm respectivele informaţii cu cele care apar pe site-ul Ministerului Finanţelor Publice.
Cifrele sunt diferite!
Am cerut ajutorul experţilor din domeniu, care ne-au explicat că ceea ce raportează băncile, BNR şi MFP sunt rezultatele contabile, iar ceea ce apare în documentul deţinut de noi, pe care îl publicăm în forma în care ne-a parvenit, reprezintă rezultatele fiscale, obţinute după reportarea şi deducerea pierderilor din anii precedenţi”, explică jurnaliștii de la Bursa, care au prezentat documentul de mai jos în exclusivitate.
Citiți întreaga analiză detaliată a documentului, în publicația Bursa.
![]()
![]()
![]()
![]()
![]()
![]()