Cum arată noul model de declarație pe proprie răspundere, făcut public de autorități

Publicat: 09 11. 2020, 16:54

Începând de luni, 9 octombrie, în România intră în vigoare noi restricții, din cauza numărului tot mai mare de oameni care se infectează cu COVID-19. Printre aceste măsuri se numără și limitarea circulației pe timp de noapte. Astfel, între orele 23:00 și 50:00, cetăţenii trebuiesă prezinte autorităţilor o adeverinţă de la angajator, prin care să ateste faptul că activitatea profesionallă nu se poate realiza la distanță sau o declaraţie pe proprie răspundere în care să se specificemotivele deplasării.

Noul model oficial de declarație pe proprie răspundere

Autoritățile au publicat modelele dedeclarație pe proprie răspundereși adeverința pentru angajatori. Acestea pot fi descărate de pe site-ulstirioficiale.ro.

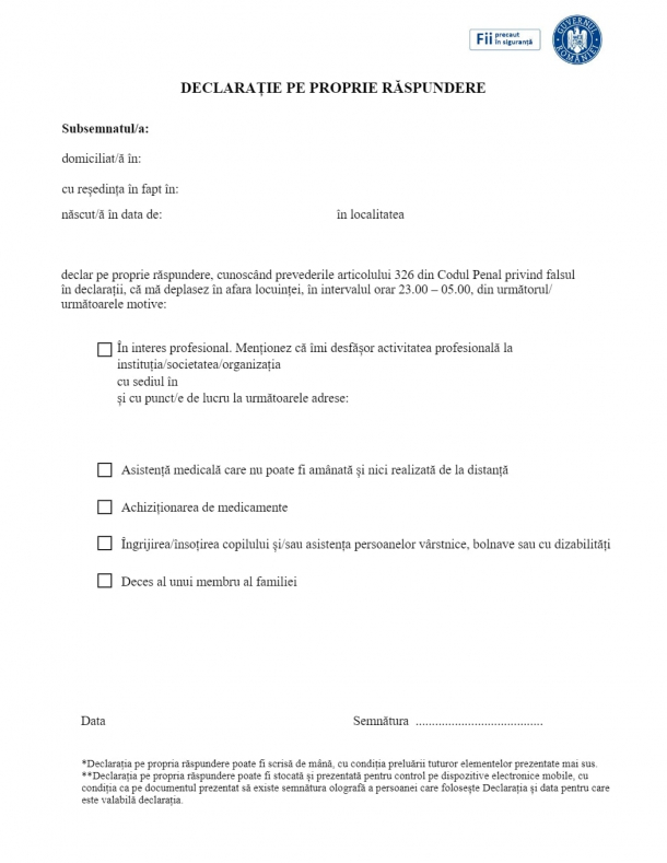
Modelul de declarație pe proprie răspundere pentru circulația pe timp de noapte

Adeverința care trebuie completată de angajatorpentru circulația pe timp de noapte

Noile documente necesare deplasării pe timp de noapte pot fi completate și în format electronic

Noile modele de documente pot fi completate și în format electronic, pe platforma electronicăhttps://formular.sts.ro, de pe telefon sau calculator.

După completare, formularele pot fi stocate pe dispozitive electronice și prezentate pentru control autorităților abilitate, cu condiția ca pe acestea să existe semnătura olografă a persoanei care folosește declarația, respectiv a reprezentantului legal al angajatorului și data la care a fost redactat documentul, potrivit unui comunicat de presă.

Restricții în toată România, odată cu valul doi al pandemiei de COVID-19

Comitetul Național pentru Situații de Urgență (CNSU) a adoptat săptămâna trecută Hotărârea 52, prin care se reinstituie restricțiile anti-COVID.

Hotărâreaprevedepurtarea obligatorie a masca măștii de protecție în toate spațiile publice, deschise sau închise, aglomeratedin toată țara, închiderea magazinelor la ora 21:00, interzicerea circulației pe timpul nopții.Pot funcționa în continuare după programul obișnuit farmaciile, benzinăriile și operatorii economici care fac livrări la domiciliu.