Evaluare Națională 2020. Subiectele care au picat la Limba și literatura maternă
Evaluarea Națională 2020 ajungejoi laproba rezervată elevilor aparținând minorităților naționale care au învățat în limba maternă. Examenul de Limba și literatura maternă începe la ora 9:00, iar absolvenții de clasa a VIII-a au avut la dispoziție 2 ore pentru a rezolva subiectele.
La Evaluarea Națională se susțin examene la șapte limbi materne: maghiară, germană, sârbă, slovacă, italiană, ucraineană și rromani, iar B1 RO vă prezintă subiectele anunţate de Ministerului Educației.
Subiectele la Evaluarea Naţională, Limba şi Literatura maternă
Examenul la Limba şi Literatura maternă începe la ora 9.00, iar subiectele vor apărea la scurt timp după ce elevii vor fi deja în sălile de clasă. B1.RO le va publica imediat ce acestea vor fi transmise de Ministerul Educației.
Limba și literatura Maghiară
![]()
![]()
![]()
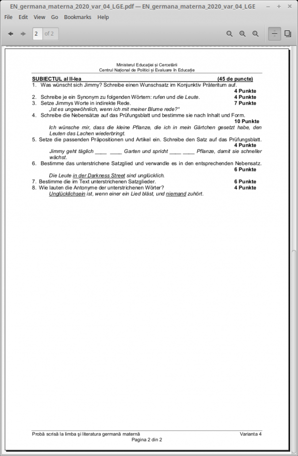
Limba și literatura Germană
![]()
![]()
Limba și literatura Sârbă
![]()
Limba și literatura Slovacă
![]()
![]()
Limba și literatura Italiană
![]()
![]()
Limba și literatura Ucraineană
![]()
![]()
Limba și literatura Rromani
![]()
![]()
Sesiune specială a Evaluării Naționale
Pentru elevii care nu pot susține în această perioada probele Evaluării Naționale din motive de sănătate, va fi organizată o nouă sesiune de examen, care va începe din 29 iunie.
”Este posibil să fie copii care sunt bolnavi atunci când se ține examenul. Este posibil să vină copii la școală, pentru examen, și la termometru să se constate că are febră și nu poate să intre la examen. Pentru acești copii am considerat că trebuie să găsim o soluție să primească, totuși, aceeași șansă ca și copiii care pot intra la examen. Atenție, vorbesc de Evaluarea Națională, care se ține din 15 iunie, așa cum era planificată. Pentru copiii care sunt bolnavi, care sunt găsiți cu febră la intrarea în școală, care sunt izolați împreună cu familia la domiciliu, care sunt într-o localitate sau într-un cartier care este în carantină, pentru aceștia, deci pentru motive medicale și de carantină, și numai pentru aceștia, se organizează o a doua sesiune de Evaluare Națională, începând din 29 iunie. Deci, repet, Evaluarea Națională se ține cum este planificată – pentru cei care sunt însă bolnavi, găsiți cu temperatură, cu febră la intrarea în școală, sau izolați cu familia, sau carantinați, se organizează a doua sesiune”, a anunțat președintele Klaus Iohannis pe 28 mai.
Calendarul sesiunii speciale a Evaluării Naționale 2020:
- 22-26 iunie: înscrierea candidaților
- 29 iunie: Limba și literatura română
- 30 iunie: Matematică
- 1 iulie: Limba și literatura maternă
- 2 iulie: afișarea rezultatelor (ora 12:00)
- 2 iulie: depunerea contestațiilor (între orele 14:00 – 19:00)
- 4 iulie: afișarea rezultatelor finale (după ora 12:00)