Analiza primelor 136 de infectări în România cu varianta de coronavirus din Marea Britanie. INSP: Ea circulă deja în jumătate din județe și există o probabilitate mare de a cuprinde toată țara în viitorul apropiat

Publicat: 23 02. 2021, 12:19
Foto: Inquam Photos / Octav Ganea

Institutul Național de Sănătate Publică (INSP) a publicat, marți, o analiză epidemiologică a primelor 136 de cazuri de COVID-19 din România confirmate cu noi variante ale SARS-CoV-2.

Potrivit documentului, până pe 21 februarie inclusiv, au fost finalizate 499 de secvențieri la patru laboratoare, fiind confirmate 136 de cazuri de infectare cu varianta de coronavirus descoperită în Marea Britanie. Acestea provin din 20 de județe și municipiul București. În Capitală, de altfel, au fost confirmate cele mai multe cazuri – 80. Până acum nu au fost descoperite cazuri de infectare cu variantele descoperite în Brazilia sau Africa de Sud.

Una dintre concluziile Institutul este că varianta de coronavirus descoperită în Marea Britanie „circulă deja în jumătate din județele țării și există o probabilitate mare de a cuprinde întreg teritoriul României în viitorul apropiat”.

Analiza epidemiologică a INSP poate fi citită integral AICI

ECDC despre pericolul noilor variante de virus SARS-CoV-2

INSP a citat la început analize publicate de Centrul European de Prevenire și Control al Bolilor (ECDC), potrivit cărora variații ale SARS-CoV-2 au fost observate în întreaga lume, iar unele mutații sau combinații de mutații îi pot oferi virusului o transmisibilitate crescută sau capacitatea de a se sustrage răspunsului imun al gazdei. Variantele de SARS-CoV-2 care determină în prezent îngrijorare sunt: cea identificată prima dată în Marea Britanie, cea din Africa de Sud și cea descoperită în Brazilia.

Riscul asociat cu răspândirea primei variante este evaluat ca fiind mare până la foarte mare pentru populația generală și foarte mare pentru persoanele vulnerabile. În acest context, experții avertizează că ridicarea prematură a măsurilor de prevenție va duce la o creștere rapidă a ratei de infectare, a numărului de cazuri grave și a mortalității.

136 de cazuri confirmate în România cu varianta de coronavirus descoperită în Marea Britanie

În analiza publicată de INSP se arată că anul acesta au fost comunicate Centrului Național de Supraveghere şi Control al Bolilor Transmisibile un număr de 499 secvențieri finalizate.

136 au fost confirmate cu varianta de SARS-CoV-2 descoperită pe teritoriul Marii Britanii. Asta înseamnă că rata de confirmare e de 27,3%. Până pe 21 februarie nu au fost detectate alte variante.

Rezultatele secvențierilor au fost transmise de patru laboratoare laboratoare: INCDMM Cantacuzino; INBI Bals; MedLife; Universitatea “Ștefan cel Mare” Suceava (USV).

Sursă: INSP

Cele 136 de cazuri confirmate au provenit din următoarele județe: Argeș (2), mun.București (80), Bihor (1), Brăila (1), Botoșani (4), Caraș-Severin (2), Cluj (9), Constanța (1), Covasna (1), Galați (2), Giurgiu (1), Gorj (2), Hunedoara (1), Ilfov (5), Mureș (1), Prahova (1), Suceava (5), Timiș (11), Vâlcea (4), Vrancea (1), Vaslui (1).

„Faptul că pentru jumătate dintre județe, provenind din toate regiunile țării, există evidențe de existență a cazurilor confirmate cu varianta B.1.1.7, denotă o răspândire extinsă și o probabilitate mare de a cuprinde întreg teritoriul țării în viitorul apropiat”, se arată în analiza epidemiologică.

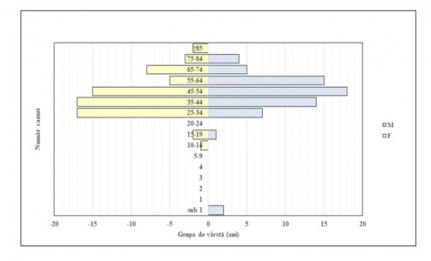
Distribuția cazurilor de COVID-19 pe vârstă și sexe

Cele mai multe cazuri confirmate s-au înregistrat la grupa de vârstă 45-54 ani. 95,6% dintre cei confirmați au avut vârsta mai mare de 25 de ani. Totodată, au fost înregistrate două cazuri la bebeluși sub 1 an, ambii copii provenind din focare familiale de COVID-19.

Sursă: INSP

„Se observă un număr evident mai mare de cazuri la sexul masculin (M) la 55-64 de ani, respectiv la sexul feminin (F) la 25-34 de ani. Prin aceasta nu se poate concluziona că varianta B.1.1.7 este mai frecventă la bărbații din grupa de vârstă 55-64 de ani, respectiv la femeile din grupa de vârstă 25-34 de ani, ci doar că acestea sunt datele valabile pentru grupul de cazuri analizat, cazuri care nu provin dintr-un screening sistematic”, mai explică INSP.

Sursă: INSP

Cum au ajuns să se infecteze cele 136 de persoane

Pentru 77 de cazuri (57% ) nu s-a menționat nicio legătură epidemiologică identificată. Călătoria în Marea Britanie a fost menționată pentru numai cinci cazuri (4%).

49 dintre persoanele confirmate, adică 36% din total, au avut contact cu persoane diagnosticate anterior și au fost parte componentă a unor focare familiale sau de colectivitate.

„Un caz a fost încadrat ca infecție asociată asistenței medicale (IAAM), locul probabil alt ransmiterii fiind spitalul”.

Pentru două cazuri contactul probabil a avut loc în familie, respectiv la locul de muncă, iar pentru alte două persoane nu s-au putut obține informațiile necesare.

„Proporția cea mai mare fiind a cazurilor la care nu a putut fi identificată nicio legătură epidemiologică, acest fapt denotă circulația deja intensă a variantei B.1.1.7 a SARS-CoV-2 în comunitate”, se mai arată în analiza epidemiologică prezentată de INSP.

Concluziile INSP privind răspândirea în România a variantei de coronavirus descoperită în Marea Britanie

„Varianta SARS-CoV-2 linia genetică B.1.1.7 circulă deja în jumătate din județele țării și există o probabilitate mare de a cuprinde întreg teritoriul României în viitorul apropiat”, transmite Institutul.

Acesta mai precizează că e nevoie de eforturi conjugate pentru realizarea secvențierilor și comunicarea rezultatelor cât mai rapid, astfel încât să se facă anchetele epidemiologice și să se ia măsurile necesare pentru a fi prevenită răspândirea mai mult a virusului, „având în vedere transmisibilitea crescută a acestei variante”.

INSP mai notează că e necesară și o secvențiere mai mare în cazul vârstnicilor, dat fiind că ultimele date primite din Marea Britanie arată că la aceștia severitatea bolii e mai mare.