Simulare BAC 2014: Vezi SUBIECTELE, BAREMELE şi REZOLVĂRILE pentru MATEMATICĂ şi ISTORIE

Publicat: 05 03. 2014, 14:34

Simulările Bacalaureatului 2014 au continuat miercuri, 5 martie, cu proba obligatorie a profilului (Matematică şi Istorie). La fel ca la Limba română, subiectele au fost rezolvate de un colectiv de profesori coordonat de prof. Gheorghe Rădulescu, director al Liceului Onicescu-Mihoc din Bucureşti şi afişate exclusiv pe B1.ro.

Simulările examenului de Bacalaureat sunt susţinute anul acesta atât de către elevii claselor a XII-a, cât şi de către cei ai claselor a XI-a.

Colectivul care a lucrat la întocmirea rezolvărilor este format din: 

Matematică 

– prof. Vasile Ștefănescu

– prof. Marinela Grigore

– prof. Ștefan Vlaston

– prof. Alexandru Dumitrache

– prof. Sorin Rădulescu

– prof. Neculai Nediță 

Istorie 

– prof. Irina Zamfirescu

– prof. Elena-Narcisa Ghețu 

Echipa tehnico – administrativă

– prof. Răzvan Ionescu – redactare computerizată

– Andrei Răzvan Goga – secretar sef

– Andrei Cristian Radu – informatician

– Iulia Tuță – jurist

– Tudorița Argeșeanu – asistent

Vă invităm să dezbateţi subiectele rezolvate, la secţiunea de comentarii de la final.

Iată rezolvările subiectelor pentru simularea Bacalaureatului 2014 la Matematică şi Istorie:

CLASA a XI-a
MATEMATICĂ – PROFIL MATE-INFO (M1)

VARIANTĂ EXTRASĂ
BAREM EVALUARE

REZOLVĂRI SUBIECTE:

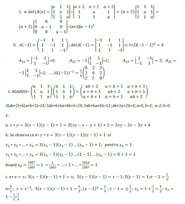
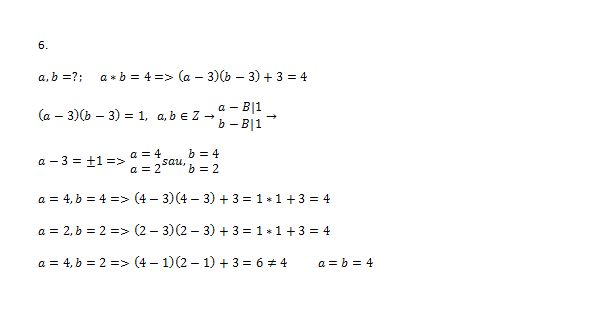
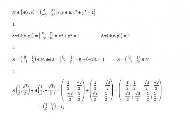
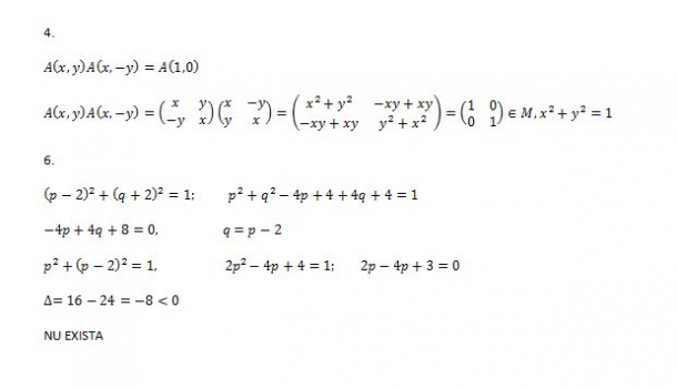
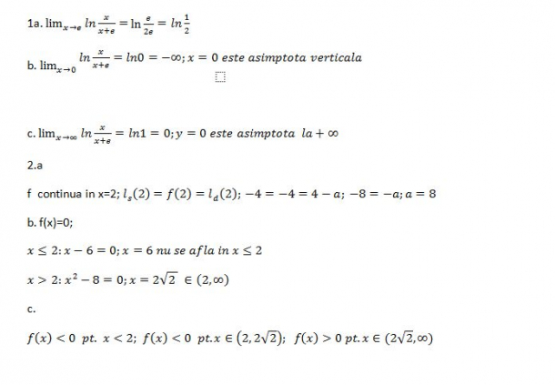
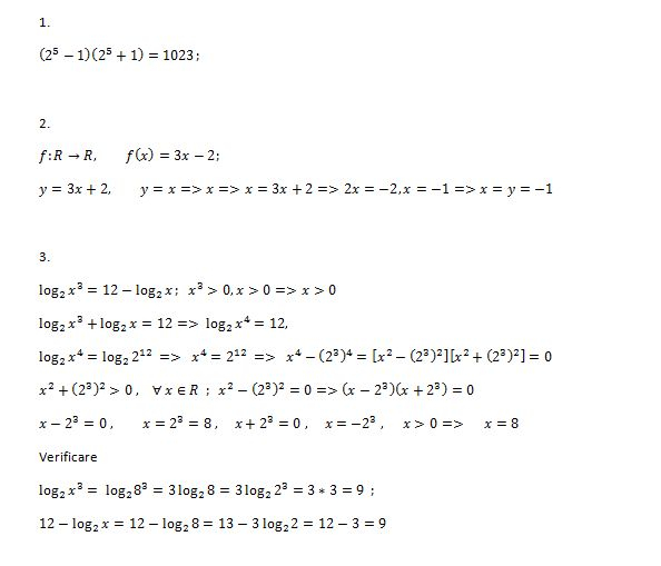
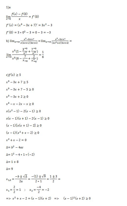
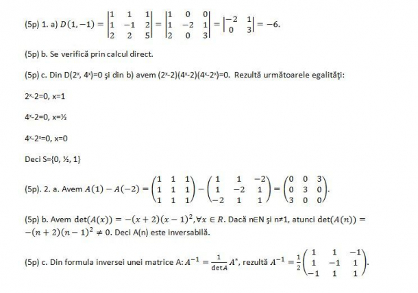
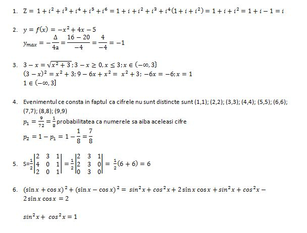
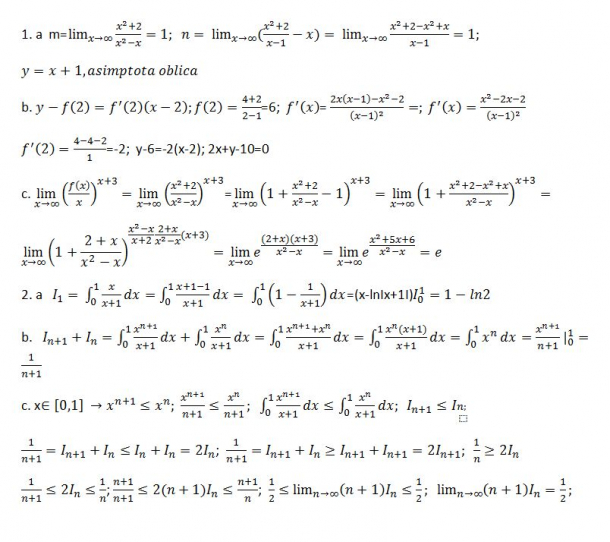
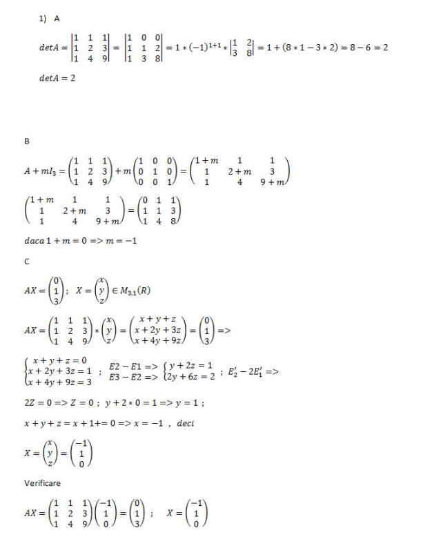
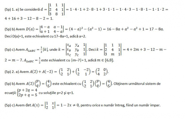
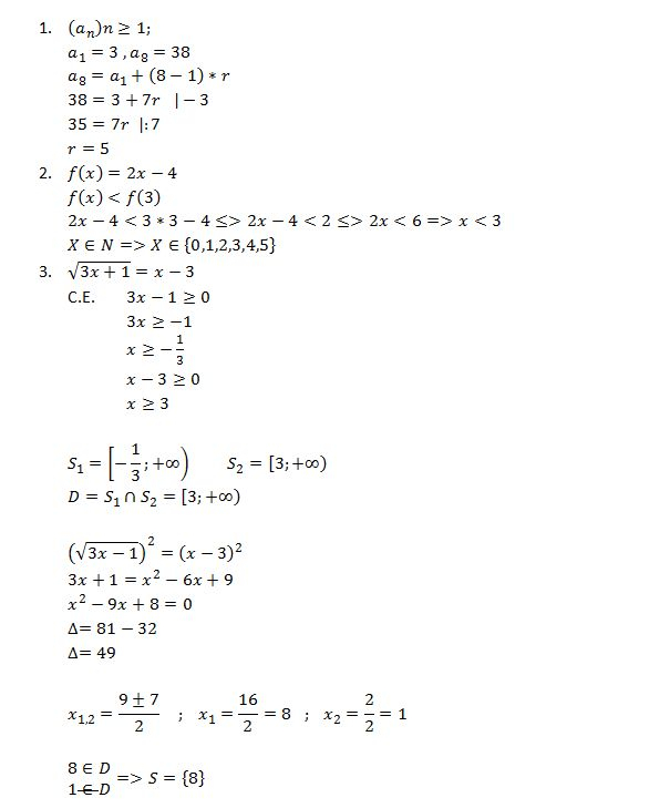
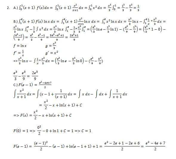
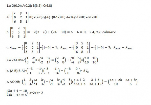
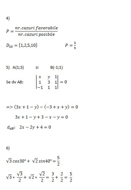
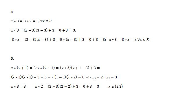
SUBIECTUL I

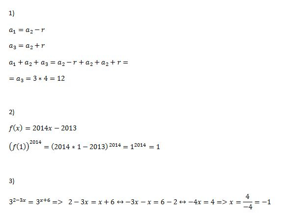
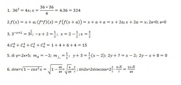
SUBIECTUL II


SUBIECTUL III

CLASA a XI-a
MATEMATICĂ – PROFIL ŞTIINŢE ALE NATURII (M2)

VARIANTĂ EXTRASĂ
BAREM EVALUARE

REZOLVĂRI SUBIECTE:

SUBIECTUL I

SUBIECTUL II

SUBIECTUL III


CLASA a XI-a
MATEMATICĂ – PROFIL TEHNOLOGIC (M3)

VARIANTĂ EXTRASĂ
BAREM EVALUARE

REZOLVĂRI SUBIECTE:

SUBIECTUL I

SUBIECTUL II

SUBIECTUL III


CLASA a XI-a
MATEMATICĂ – PROFIL PEDAGOGIC (M4)

VARIANTĂ EXTRASĂ
BAREM EVALUARE

REZOLVĂRI SUBIECTE:

SUBIECTUL I

SUBIECTUL II

SUBIECTUL III

CLASA a XI-a
ISTORIE

VARIANTĂ EXTRASĂ
BAREM EVALUARE

REZOLVĂRI SUBIECTE:

SUBIECTUL I

1. Primul Razboi Mondial;
2. Secolul al XX-lea;
3. Mussolini; Italia.
4. A
5. Datorită “decăderii morale exercitată de elitele tradiţionale asupra societăţii şi culturii italiene […] – acestea nu au puterea necesară pentru a antrena masele italiene şi pentru a face din Italia o mare naţiune care să aspire la conducerea Europei, ca Germania sau Rusia sovietică.”
6. În perioada contemporană, regimurile democratice sunt caracterizate prin: existenţa principiului separării puterilor în stat (puterea legislativă – deţinută de Parlament, puterea executivă – deţinută de Guvern şi puterea judecătorească deţinută de tribunale şi de Înalta Curte de Justiţie şi Casaţie). O altă idee specifică regimului democratic este libertatea presei. Aceasta presupune libera exprimare şi absenţa cenzurii.
7. O altă caracteristică a regimurilor totalitare, inexistentă în sursele date este aceea a cultului personalităţii.

SUBIECTUL II 

1. Conferinţa de la Messina;
2. Statul american susţine “Planul Schuman”, “pentru că Washingtonul vede în acesta prologul unei uniuni europene care ar putea mai târziu să contribuie la problema apărării sale”;
3. Comunitatea Europeană a Cărbunelui şi Oţelului şi Comunitatea Economică Europeană;
4. ,,URSS şi statele satelite condamnă această politică’’ . ,, În Germania, în Italia şi în cele trei ţări ale Beneluxului [Belgia, Olanda, Luxemburg] reacţia este favorabilă.’’
5. Tratatul de la Paris, semnat în 1951, instituie Comunitatea Economică a Cărbunelui şi Oţelului, pe o durată de 50 de ani. Cu acest prilej au fost create 4 instituţii supranaţionale: „Consiliul de Miniştri care reprezintă interesele statelor şi Curtea de Justiţie care judecă legile”.
6. După 1955 construcţia europeană evoluează „de la Europa celor 6” la „Europa celor 28 de state”, în 2013, fapt ce demonstrează afirmaţia conform căreia în secolul al XX-lea a continuat integrarea europeană. O astfel de etapă a avut loc în 1973 când s-a format Europa celor nouă, prin aderarea Marii Britanii, Danemarcei şi Irlandei.

SUBIECTUL III

În perioada contemporană, statele sunt organizate sub forma monarhiilor sau republicilor.

Monarhia este o modalitate de guvernare în cadrul căreia funcţia supremă în stat se transmite ereditar şi viager unui monarh. În perioada contemporană acestea îmbracă forma monarhiilor constituţionale. Acestea presupun guvernarea în mod democratic, monarhul guvernează în baza unei constituţii iar prerogativele acestuia sunt limitate prin prevederi constituţionale. În perioada contemporană, state care îmbracă forma monarhiilor sunt: Marea Britanie, Olanda, Spania. România în perioada interbelică a fost monarhie constituţională.

O trăsătură a culturii române ce evidenţiază caracterul european al acesteia, este faptul că aceasta a fost deschisă influenţelor culturale europene. Europeniştii erau adepţii modernismului, a sincronizării la valorile culturii europene. Cultura română a contribuit la îmbogăţirea tezaurului cultural european, prin creaţiile lui Constantin Brâncuşi, cel ce a creat sculptura modernă, Constantin Noica, Mircea Eliade, Emil Cioran, Eugen Ionesco ş. a.

Pe plan economic, în România postbelică s-au conturat două tendinţe: economia rurală şi economia urbană.

În mediul rural, între anii 1949-1962, a avut loc colectivizarea agriculturii, prin desfiinţarea proprietăţii individuale ţărăneşti şi includerea pământului în gospodăriile agricole colective. Acest fapt a avut ca efect depopularea satelor şi creşterea populaţiei urbane.

În mediul urban a avut loc industrializarea forţată, dezvoltându-se industria grea, constructoare de maşini. Pe de altă parte, construirea de mii de întreprinderi, pentru a asigura extinderea activităţilor industriale în întreaga ţară a determinat deficitul de materii prime, de forţă de muncă inalt calificată şi de resurse energetice.

Evoluţia rapidă a tehnologiei a produs un nou tip de societate, societatea informaţională. Datorită evoluţiei rapide a societăţii, oamenii sunt nevoiţi să se adapteze în permanenţă la nou şi să ţină pasul cu noile descoperiri tehnologice. Însă dezvoltarea industrială şi tehnologică are şi consecinţe nefaste asupra mediului, cum ar fi: poluarea chimică a apelor, poluarea radioactivă, distrugerea faunei şi florei, degradarea sănătăţii umane, etc.


CLASA a XII-a
MATEMATICĂ – PROFIL MATE-INFO (M1)

VARIANTĂ EXTRASĂ
BAREM EVALUARE

REZOLVĂRI SUBIECTE:

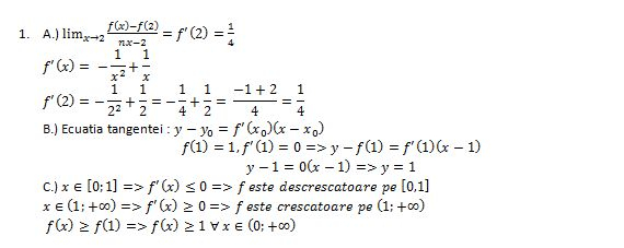
SUBIECTUL I


SUBIECTUL II


SUBIECTUL III

CLASA a XII-a
MATEMATICĂ – PROFIL ŞTIINŢE ALE NATURII (M2)

VARIANTĂ EXTRASĂ
BAREM EVALUARE

REZOLVĂRI SUBIECTE:

SUBIECTUL I


SUBIECTUL II

SUBIECTUL III


CLASA a XII-a
MATEMATICĂ – PROFIL TEHNOLOGIC (M3)

VARIANTĂ EXTRASĂ
BAREM EVALUARE

REZOLVĂRI SUBIECTE:

SUBIECTUL I


SUBIECTUL II


SUBIECTUL III

CLASA a XII-a
MATEMATICĂ – PROFIL PEDAGOGIC (M4)

VARIANTĂ EXTRASĂ
BAREM EVALUARE

REZOLVĂRI SUBIECTE:

SUBIECTUL I


SUBIECTUL II

SUBIECTUL III


CLASA a XII-a
ISTORIE

VARIANTĂ EXTRASĂ
BAREM EVALUARE

REZOLVĂRI SUBIECTE:

SUBIECTUL I

1. “Întreaga Ţară a Severinului”;
2.  secolul XIII;
3.  Litovoi, Seneslau;
4.  B;
5. “Datorită condiţiilor naturale optime, creşterea vitelor şi oilor ocupa un loc important în economia vremii […]” Acest fapt demonstrând importanţa economică a cnezatelor şi voievodatelor româneşti. Din aceastaă cauza rezultă dorinţa coroanei maghiare de a stăpâni aceste teritorii.
6. Un prim fapt istoric desfăşurat în spaţiul extracarpatic în secolul al XIV-lea a avut loc în Ţara Românească la 9-12 noiembrie 1330. Este vorba de bătălia de la Posada (loc strâmt), bătălie ce a reprezentat o confruntare directă între Basarab I şi Carol Robert de Anjou, regele Ungariei. Victoria românilor asupra oştilor maghiare a reprezentat sfârşitul suzeranităţii maghiare şi apariţia primului stat românesc independent la Sud de Carpaţi, Ţara Românească.
Un al doilea fapt istoric, din această perioadă, s-a realizat în spaţiul de la Est de Carpaţi. În 1359 a avut loc descălecatul lui Bogdan din Cuhea, Maramureş, care s-a alăturat mişcării din Moldova îndreptate împotriva politicii de expansiune maghiară la Est de Carpaţi. Descălecatul lui Bogdan a marcat un moment important în procesul emancipării statului romînesc, întemeierea Moldovei.
7.  Domnia reprezintă instituţia centrală a Ţărilor Române. În secolul al XVIII-lea domnii erau numiţi direct de Poată (Imperiul Otoman), dintre grecii din cartierul Fanar ce deţinuseră funcţii înalte în ierarhia otomană. Domnii fanarioţi exercitau în timpul domniei o autoritate absolută., întreţineau o Curte proprie şi o gardă personală.
O caracteristică a domniilor fanariote o reprezintă faptul că Ţările Române nu mai aveau dreptul de a desfăşura o politică externă proprie şi ca urmare nu mai puteau să-şi trimită soli în alte ţări sau să încheie tratate cu alte state.

SUBIECTUL II

1. Ţara Românească;
2. Comitetul revoluíonar din Cernăuţi era „alcătuit din revoluţíonarii ce trecuseră Carpaţii”;
3. Dorinţele partidei naţionale în Moldova, redactat de Mihail Kogălniceanu;
4. “autonomie deplină, egalitatea drepturilor civile şi a celor politice”;
5. Programul formulează principiile în conformitate cu care urma să se constituie statul român modern. Aceste principii moderne constituiau puncte de plecare pentru construcţia viitorului stat. Printre acestea se numără : “responsabilitatea ministerială, desfiinţarea rangurilor şi a privilegiilor” etc. 
6. De-a lungul secolului al XVIII-lea, mişcarea naţională a românilor s-a manifestat mai timid la începutul acestuia, pentru ca în a doua jumătate a secolului să capete amploare şi să aibă primele rezultate. În a doua jumătate a secolului acţiunile îndreptate împotriva regimului turco-fanariot se inmulţesc. Boierimea a cerut în această perioadă de aproximativ 40 de ori înlocuirea fanarioţilor cu domni pământeni. Memoriul din 1772 susţinea unirea Moldovei cu Ţara Românească iar cel din 1791 revendica unirea şi independenţa Principatelor sub protecţia Rusiei şi a Austriei. Prevederile acestor memorii au contribuit la constituirea statului român modern prin ideile pe care le susţineau.

SUBIECTUL III

După încheierea Primului Război Mondial, regimul democratic a fost prezent în majoritatea statelor europene. Regimurile politice democratice s-au menţinut în statele în care democraţia era suficient de consolidată pentru a face faţă problemelor economice şi tensiunilor sociale. Aceste state au fost: Franţa, Marea Britanie, etc. Două caracteristici ale democraţiei în Europa în prima jumătate a secolului al XX-lea sunt: garantarea drepturilor şi libertăţilor fundamentale ale cetăţenilor şi pluralismul politic.

Două ideologii totalitare din perioada interbelică au fost nazismul şi comunismul. Totalitarismul este tipul de regim politic în care puterea executivă îşi subordonează toate celelalte sfere de activitate, limitează libertăţile democratice ale individului, înlătură partidele politice de opoziţie, practică o politică de forţă şi violenţă.

Nazismul este o ideologie de extremă dreaptă, variană a fascismului. Creatorul doctrinei naziste este Adolf Hitler. Ideologia nazistă este ultranaţionalistă şi antisemită, constă în promovarea ideii rasei germane, a xnofobiei, a unei politici agresive de expansiune la nivel mondial şi a dominării lumii. Aceste idei şi obiective se regăseau în Mein Kampf, cartea celui care a devenit lider al Germaniei. 

Comunismul a fost o ideologie totalitară de extremă stângă care îşi are rădăcinile în operele lui Marx, care a fundamentat teoria luptei de clasă ca motor al dezvoltării. Marx a susţinut că proletariatul a preluat puterea de la burghezie pe cale revoluţionară. Statul trebuia să fie un instrument al dictaturii proletariatului. Ideile sale au fost puse în practică la începutul secolului al XX-lea. Primul regim comunist s-a instaurat în Rusia, în octombrie 1917, sub conducerea lui Lenin. Pentru că dorea controlul total al statului şi al societăţii, regimul comunist a desfiinţat proprietatea privată, a înfăptuit naţionalizarea şi colectivizarea, a dezlănţuit teroarea, a înfiinţat poliţia secretă cu misiunea de a lichida pe toţi cei care se opuneau regimului, a suprimat libertatea presei.

O asemănare între cele două ideologii este cultul personalităţii conducătorului.

O practică politică utilizată de regimul comunist din România a fost naţionalizarea. Aceasta a avut un caracter de confiscare a principalelor mijloace de producţie. La 22 iunie 1948 a fost votată legea naţionalizării întreprinderilor industriale, de transport, de asigurări şi bancare, fiind naţionalizate 1060 de întreprinderi.

În decembrie 1989, România trece de la regimul totalitar comunist, la statul de drept. Are loc revenirea la democraţie iar în 1991 a fost adoptata o nouă Constituţie care avea la bază principiul separării puterilor în stat, respectarea drepturilor şi libertăţilor cetăţeneşti, etc.
 

Atenţie! Rezolvările subiectelor de la simularea examenului de Bacalaureat aparţin exclusiv Liceului Onicescu-Mihoc – Fundatia Româno-Elenă Creștin Ortodoxă I.L. Caragiale – şi nu pot fi preluate fără acordul reprezentanţilor acestei instituţii.